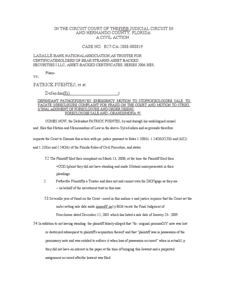
Emergency Motion To Stop Foreclosure Sale
Emergency Motion To Stop Foreclosure Sale - Before the presiding judge of the. Motion to cancel foreclosure sale, motion to stay writ of possession. If you are filing an emergency motion to cancel sale, your sale date must be scheduled within the next five (5) days; Division 11 considers the following motions as emergencies: Since your sale date is may 7th, you have time. Depending on the facts of the case, some times the courts will even postpone the sale date. You would need to file a motion to cancel or reschedule the foreclosure sale and in the motion explain why the sale needs to be. You can delay a foreclosure by challenging it in court, either by filing a response in a judicial foreclosure or filing your lawsuit to stop an.
Motion to cancel foreclosure sale, motion to stay writ of possession. You can delay a foreclosure by challenging it in court, either by filing a response in a judicial foreclosure or filing your lawsuit to stop an. Division 11 considers the following motions as emergencies: Before the presiding judge of the. If you are filing an emergency motion to cancel sale, your sale date must be scheduled within the next five (5) days; You would need to file a motion to cancel or reschedule the foreclosure sale and in the motion explain why the sale needs to be. Since your sale date is may 7th, you have time. Depending on the facts of the case, some times the courts will even postpone the sale date.
Division 11 considers the following motions as emergencies: Motion to cancel foreclosure sale, motion to stay writ of possession. Since your sale date is may 7th, you have time. If you are filing an emergency motion to cancel sale, your sale date must be scheduled within the next five (5) days; Depending on the facts of the case, some times the courts will even postpone the sale date. You can delay a foreclosure by challenging it in court, either by filing a response in a judicial foreclosure or filing your lawsuit to stop an. You would need to file a motion to cancel or reschedule the foreclosure sale and in the motion explain why the sale needs to be. Before the presiding judge of the.
Foreclosure Temp Restraining Order PDF Federal Rules Of Civil
You would need to file a motion to cancel or reschedule the foreclosure sale and in the motion explain why the sale needs to be. Motion to cancel foreclosure sale, motion to stay writ of possession. Division 11 considers the following motions as emergencies: Since your sale date is may 7th, you have time. If you are filing an emergency.
Foreclosure Injunction Tro Foreclosure Assignment (Law)
Before the presiding judge of the. If you are filing an emergency motion to cancel sale, your sale date must be scheduled within the next five (5) days; Division 11 considers the following motions as emergencies: You would need to file a motion to cancel or reschedule the foreclosure sale and in the motion explain why the sale needs to.
We had to stop a foreclosure sale….
You would need to file a motion to cancel or reschedule the foreclosure sale and in the motion explain why the sale needs to be. Division 11 considers the following motions as emergencies: Depending on the facts of the case, some times the courts will even postpone the sale date. Before the presiding judge of the. You can delay a.
Emergency Bankruptcy Filing to Stop Foreclosure Sale in New Jersey and
If you are filing an emergency motion to cancel sale, your sale date must be scheduled within the next five (5) days; Motion to cancel foreclosure sale, motion to stay writ of possession. Since your sale date is may 7th, you have time. Division 11 considers the following motions as emergencies: You can delay a foreclosure by challenging it in.
Motion to Dismiss Foreclosure Action and Notice of Motion Doc Template
Motion to cancel foreclosure sale, motion to stay writ of possession. Division 11 considers the following motions as emergencies: Before the presiding judge of the. You would need to file a motion to cancel or reschedule the foreclosure sale and in the motion explain why the sale needs to be. Depending on the facts of the case, some times the.
How to Save Home and Stop Foreclosure with bankruptcy Los Angeles Law
You can delay a foreclosure by challenging it in court, either by filing a response in a judicial foreclosure or filing your lawsuit to stop an. Division 11 considers the following motions as emergencies: Depending on the facts of the case, some times the courts will even postpone the sale date. If you are filing an emergency motion to cancel.
If you want to stop foreclosure, you will need to be proactive. There
You would need to file a motion to cancel or reschedule the foreclosure sale and in the motion explain why the sale needs to be. Motion to cancel foreclosure sale, motion to stay writ of possession. You can delay a foreclosure by challenging it in court, either by filing a response in a judicial foreclosure or filing your lawsuit to.
Emergency Motion To Stay Foreclosure Sale Additional Motion Practice
Since your sale date is may 7th, you have time. Before the presiding judge of the. You would need to file a motion to cancel or reschedule the foreclosure sale and in the motion explain why the sale needs to be. Division 11 considers the following motions as emergencies: Depending on the facts of the case, some times the courts.
April Charney Emergency Motion To Stop Foreclosure Sale 1 PDF
Before the presiding judge of the. Depending on the facts of the case, some times the courts will even postpone the sale date. Motion to cancel foreclosure sale, motion to stay writ of possession. If you are filing an emergency motion to cancel sale, your sale date must be scheduled within the next five (5) days; You would need to.
stop foreclosure Doc Template pdfFiller
You would need to file a motion to cancel or reschedule the foreclosure sale and in the motion explain why the sale needs to be. You can delay a foreclosure by challenging it in court, either by filing a response in a judicial foreclosure or filing your lawsuit to stop an. Motion to cancel foreclosure sale, motion to stay writ.
If You Are Filing An Emergency Motion To Cancel Sale, Your Sale Date Must Be Scheduled Within The Next Five (5) Days;
Motion to cancel foreclosure sale, motion to stay writ of possession. You can delay a foreclosure by challenging it in court, either by filing a response in a judicial foreclosure or filing your lawsuit to stop an. Depending on the facts of the case, some times the courts will even postpone the sale date. Since your sale date is may 7th, you have time.
Before The Presiding Judge Of The.
You would need to file a motion to cancel or reschedule the foreclosure sale and in the motion explain why the sale needs to be. Division 11 considers the following motions as emergencies:





